Articoli su temperatura in Abstracts
Attenuazione dello Stress da Calore nei suini: effetti di una dieta arricchita con additivi su prestazioni, salute e consumo di acqua
Valutazione di diversi protocolli di scongelamento nel seme di Suino Iberico conservato per 10 anni a diversi livelli di azoto liquido

Rilevazione automatica della posizione di decubito nei suini attraverso l'analisi con Intelligenza Artificiale con l'ausilio di videocamere
In questo studio tedesco, viene studiato il comportamento dei suini sottoposti a diverse temperature in diverse realtà suinicole attraverso la tecnologia...
Impatto della progettazione della gabbia parto, del numero di lampade riscaldanti e del comportamento di coricamento della scrofa sulla comparsa di lesioni alle spalle
Risposta di fertilità delle scrofette trattate con melatonina a diverse condizioni di temperatura e illuminazione

Esplorazione delle risposte individuali dei suini ai problemi di Benessere nel comportamento alimentare in fase di accrescimento-ingrasso
Il monitoraggio individuale dei suini permette di avere una mole di dati tale da poter interpretare correttamente i danni causati dallo Stress ai suini attraverso la valutazione del consumo alimentare...
Dinamica spazio-temporale della diffusione della peste suina africana nelle Filippine

Valutazione dell'impatto di un protocollo di riscaldamento e della densità di allevamento sui suini da ingrasso sottoposti a stress da calore.
Sappiamo che lo stress termico porta a minori performance nei suini grassi: vediamo cosa dice questo studio che ha valutato anche la densità all'interno del box...

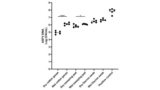
Sviluppo ed ottimizzazione di tecniche di campionamento per campioni ambientali da superfici contaminate dal virus della peste suina africana senza contaminanti organici
I ricercatori dell'Istituto Zooprofilattico Sperimentale dell'Umbria e delle Marche hanno studiato le miglior tecniche di prelievo dei campioni su varie superfici...

Lo stress da calore altera il proteoma ovarico nelle scrofette in età prepuberale
Lo stress da calore altera il proteoma ovarico e molteplici percorsi e sistemi biologici nelle scrofette in età prepuberale; cambiamenti che potenzialmente contribuiscono all’infertilità delle scrofe...

Variazioni della Temperatura dei suinetti appena nati: effetto dell'iniezione salina calda via intraperitoneale
Una soluzione in più per cercare di salvare i suinetti più piccoli, semplice ed efficace...
Effetti dell'integrazione di zinco sulla crescita e sulla composizione corporea dei suini da ingrasso sottoposti a stress da caldo

Conservazione del Seme a 5 °C per la riduzione dell'uso di antibiotici: Dalla scienza alla Pratica
E' risaputo che per conservare correttamente le dosi seminali, dobbiamo tenerlo a temperature adeguate. Questo studio cambia le prospettive...

Lo stress da calore altera i parametri ematologici nei suini castrati e nelle scrofette
Il sesso biologico media, almeno in parte, la risposta fisiologica allo stress da calore.

Effetto di diverse tipologie di mangiatoie in sala parto e del gocciolamento (drip cooling) sulle performance delle scrofe e sullo stato di svuotamento della mangiatoia
Quanto può influenzare la tipologia di mangiatoie in sala parto sul consumo di mangimi?... Lo studio quantifica anche il beneficio dell'uso del sistema "drip cooling" in sala parto sul consumo di mangimi e peso della figliata...
Bollettino settimanale di notizie del mondo dei suini
Fai il log in e spunta la lista