Articoli su colostro

Possiamo migliorare la Qualità del Colostro attraverso la nutrizione: ricerca e pratica
L'industria del settore suinicolo mondiale è un'attività dinamica che registra continui progressi, uno dei quali è il significativo aumento della produttività delle scrofe. Ciò è dimostrato dall'aumento del numero totale di suinetti nati e, di conseguenza, del numero di suinetti svezzati. Questo sviluppo pone anche nuove sfide, soprattutto per quanto riguarda il "superalimento" più importante in allevamento: il Colostro suino. Di fronte a questo, possiamo chiederci: è possibile migliorare la Qualità del Colostro attraverso strategie nutrizionali specifiche?...
Effetto del sesso e del peso alla nascita sulle prestazioni, sul microbioma, sulla risposta immunitaria e sull'ingestione di colostro dei suinetti

Migliorare la Qualità del Colostro: è possibile ottenere una concentrazione di immunoglobuline del 50% in più nel siero dei suinetti?
I beta-glucani sono eccellenti composti bioattivi che possono aiutarci a migliorare l'immunità passiva in modo pratico ed economico...

Riassunto della Allen D. Leman Swine Conference 2024: Riproduzione e Produzione
Antonio Palomo ci presenta la sintesi delle presentazioni sulla Produzione e Riproduzione suina che sono state presentate all'ultima edizione della Allen D. Leman Swine Conference 2024...

Riassunto della Allen D. Leman Swine Conference 2024 (I): Produzione, Sostenibilità e Nutrizione
L'edizione di quest'anno della Allen D. Leman Swine Conference in onore del Dr. Allen D'Leman è stata speciale per celebrare il 50° Anniversario e si è svolta dal 21 al 24 settembre presso il centro congressi Saint Paul RiverCentre, nel Minnesota, USA...

Riassunto del 27º IPVS e 15º ESPHM-ECPHM: Riproduzione, Benessere e Nutrizione
In questa terza puntata, Antonio Palomo ci offre una sintesi delle presentazioni su Riproduzione, Alimentazione, Allevamento di Precisione e altri aspetti della Produzione Suina.
Fattori associati all'assistenza al parto nelle scrofe iperprolifiche

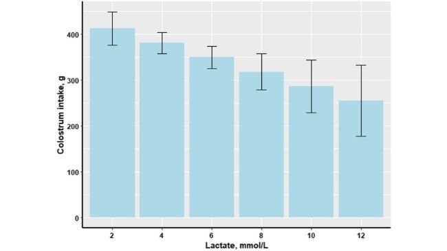
Impatto del peso alla nascita, ordine di nascita, ipossia al parto e ingestione di colostro sulla crescita ed immunità dei suinetti lattanti
Questo studio conferma e aggiunge ulteriori informazioni sugli effetti dell'insufficiente ingestione del colostro, del mancato recupero della temperatura e sull'asfissia durante il parto...

Riassunto della 55ª Riunione Annuale dell' AASV: Argomenti Vari
Antonio Palomo ci offre la sintesi delle presentazioni che mancavano all'AASV, dal futuro della professione veterinaria suina, all'eradicazione delle malattie, al prezzo della carne suina o alle esperienze per migliorare la sopravvivenza dei suini...

Comportamento di costruzione del nido nella Scrofa al parto è correlato con la produttività e prolificità
Parto in gruppo: lo studio valuta gli aspetti comportamentali correlandoli con analisi biochimiche e produttività...
Effetti dell'integrazione alimentare con aminoacidi a catena ramificata e arginina nelle scrofe e nei suinetti in lattazione

Sondaggio sullo "split nursing": dobbiamo iniziare con i più piccoli?... E' giusto?...
Il 53% degli utenti che hanno partecipato al sondaggio hanno risposto che prima lasciano mangiare i più piccoli, poi i più grandi, quando si usa la tecnica del "colostramento" sequenziale...

Video sulla somministrazione sequenziale del colostro: l'importanza delle prime ore
Se vogliamo garantire la quantità necessaria di colostro per suinetto e aiutare i suinetti più piccoli a raggiungerla, è necessario lavorare sulla somministrazione sequenziale del colostro...
Effetti di una dieta ad alto contenuto energetico e integrazione con spirulina nelle scrofette

Consigli di Management: Come pareggiamo le figliate dopo il parto?... (I)
Nel consiglio precedente abbiamo visto il momento ideale per pareggiare le figliate di suinetti appena nati... Ora vedremo come farlo...
Bollettino settimanale di notizie del mondo dei suini
Fai il log in e spunta la lista