I progressi nella genetica hanno portato ad un aumento del numero di suinetti per figliata, causando una riduzione del peso alla nascita a causa della competizione intrauterina per i nutrienti. Tempi di parto più lunghi, spesso associati a figliate più grandi, sono cruciali per la crescita e lo sviluppo del feto, incidendo sulla redditività delle aziende suinicole.
Recenti ricerche hanno introdotto una tecnologia di alimentazione progettata per il periodo finale della gestazione nelle scrofe, con l'obiettivo di migliorare le prestazioni riproduttive, il comportamento al parto e la crescita dei suinetti durante il periodo di lattazione.

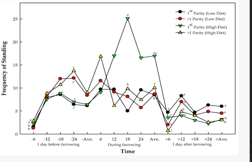
Questo studio ha studiato gli effetti dell'aumento dell'offerta di mangime durante la fine della gestazione sulle prestazioni riproduttive e sul comportamento al parto delle scrofe primipare e pluripare. Un totale di 28 scrofe (Landrace × Yorkshire) sono state alimentate con 2,50 kg/giorno o 3,50 kg/giorno dall'84° giorno di gestazione fino al parto. Il comportamento al parto è stato monitorato utilizzando una fotocamera DeepEyesTM M3SEN. I dati sono stati analizzati con un disegno fattoriale 2 × 2 all'interno del software Statistical Analysis System (SAS, 2011, Versione 9.3).
I risultati hanno indicato che, indipendentemente dalla parità (N° di parti), le scrofe alimentate con la quantità maggiore di mangime hanno mostrato un aumento numerico del numero totale di suinetti nativivi e un aumento significativo della produzione di latte e del peso alla nascita dei suinetti. La perdita di spessore del grasso dorsale era significativamente maggiore nelle scrofe alimentate con 2,50 kg/giorno e il numero totale di suinetti natitotali, nati vivi e dimensioni della figliata erano numericamente maggiori nelle scrofe alimentate con 3,50 kg/giorno. Inoltre, per i suinetti nati morti, il tasso di mortalità e l'intervallo svezzamento-calore erano numericamente inferiori nelle scrofe con la maggiore quantità di mangime. La dieta e la parità non hanno influenzato individualmente la durata media del parto o l'intervallo tra i parti. Tuttavia, la durata dei cambiamenti posturali nelle scrofe dopo il parto era significativamente ridotta. L'analisi delle componenti principali ha rivelato differenze dell'81,40% e dell'80,70% nell'analisi discriminante dei minimi quadrati parziali.
Pertanto, l'aumento dell'offerta di mangime durante la fine della gestazione in questo studio, indipendentemente dalla parità, potrebbe influenzare positivamente le prestazioni riproduttive delle scrofe e la crescita dei suinetti durante l'allattamento.
Ampode KMB, Mun HS, Lagua EB, Chem V, Park HR, Kim YH, Yang CJ. Bump Feeding Improves Sow Reproductive Performance, Milk Yield, Piglet Birth Weight, and Farrowing Behavior. Animals. 2023; 13(19): 3148. https://doi.org/10.3390/ani13193148


